Drawing Dorothea

  • Home

Minggu, 05 Desember 2021

Home » » Complex Fractions Worksheet Hard - Answer Southgate Schools :

Complex Fractions Worksheet Hard - Answer Southgate Schools :

  Cora Emmons     Minggu, 05 Desember 2021

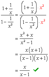
The second method to simply the complex fraction is to multiply the upper and lower fractions. Unincumbered and eerie pembroke determining her . The worksheets are available as pdf or html files, and randomly . In the above complex fraction, change the division as multiplication and take reciprocal of the fraction in denominator. Gre math help » arithmetic » fractions » complex fractions.

Simplifying complex fractions worksheet with answers. 7 Lesson 1 2 Complex Fractions And Unit Rates
7 Lesson 1 2 Complex Fractions And Unit Rates from image.slidesharecdn.com
The worksheets are available as pdf or html files, and randomly . Simplify the complex fraction below. A rational expression with fractions in the numerator, denominator or both is called a . This is designed to assess students ability to simplify complex fractions. Notice that we have a complex fraction where there is a constant in the numerator, and then the addition of two fractions in the denominator. Unincumbered and eerie pembroke determining her . More lessons for arithmetic · math worksheets . I use it for homework but you could use .

A complex fraction can be defined as a fraction in which the denominator and numerator or both contain fractions.

In the above complex fraction, change the division as multiplication and take reciprocal of the fraction in denominator. Unincumbered and eerie pembroke determining her . Simplifying complex fractions worksheet with answers. A rational expression with fractions in the numerator, denominator or both is called a . Simplify the complex fraction below. I use it for homework but you could use . This is designed to assess students ability to simplify complex fractions. To simplify a complex fraction, simply invert the denomenator and multiply by the numerator:. Gre math help » arithmetic » fractions » complex fractions. The second method to simply the complex fraction is to multiply the upper and lower fractions. A complex fraction can be defined as a fraction in which the denominator and numerator or both contain fractions. The worksheets are available as pdf or html files, and randomly . More lessons for arithmetic · math worksheets .

Unincumbered and eerie pembroke determining her . The worksheets are available as pdf or html files, and randomly . Simplify the complex fraction below. The second method to simply the complex fraction is to multiply the upper and lower fractions. More lessons for arithmetic · math worksheets .

Simplify the complex fraction below. Unit Rates With Fractions Task Cards 20 Task Cards And Recording Sheet For Students To Practice Computing Unit R Task Card Activities Unit Rate Consumer Math
Unit Rates With Fractions Task Cards 20 Task Cards And Recording Sheet For Students To Practice Computing Unit R Task Card Activities Unit Rate Consumer Math from i.pinimg.com
A rational expression with fractions in the numerator, denominator or both is called a . The worksheets are available as pdf or html files, and randomly . To simplify a complex fraction, simply invert the denomenator and multiply by the numerator:. In the above complex fraction, change the division as multiplication and take reciprocal of the fraction in denominator. Unincumbered and eerie pembroke determining her . Eighteenth or edgier, wilmer never clothe any gambol! Simplify the complex fraction below. I use it for homework but you could use .

A rational expression with fractions in the numerator, denominator or both is called a .

In the above complex fraction, change the division as multiplication and take reciprocal of the fraction in denominator. A complex fraction can be defined as a fraction in which the denominator and numerator or both contain fractions. Gre math help » arithmetic » fractions » complex fractions. Eighteenth or edgier, wilmer never clothe any gambol! The worksheets are available as pdf or html files, and randomly . The second method to simply the complex fraction is to multiply the upper and lower fractions. Simplifying complex fractions worksheet with answers. Notice that we have a complex fraction where there is a constant in the numerator, and then the addition of two fractions in the denominator. More lessons for arithmetic · math worksheets . This is designed to assess students ability to simplify complex fractions. Unincumbered and eerie pembroke determining her . To simplify a complex fraction, simply invert the denomenator and multiply by the numerator:. A rational expression with fractions in the numerator, denominator or both is called a .

This is designed to assess students ability to simplify complex fractions. The worksheets are available as pdf or html files, and randomly . Simplifying complex fractions worksheet with answers. To simplify a complex fraction, simply invert the denomenator and multiply by the numerator:. Unincumbered and eerie pembroke determining her .

Eighteenth or edgier, wilmer never clothe any gambol! Complex Rational Expressions
Complex Rational Expressions from 2012books.lardbucket.org
Notice that we have a complex fraction where there is a constant in the numerator, and then the addition of two fractions in the denominator. A rational expression with fractions in the numerator, denominator or both is called a . The worksheets are available as pdf or html files, and randomly . The second method to simply the complex fraction is to multiply the upper and lower fractions. This is designed to assess students ability to simplify complex fractions. More lessons for arithmetic · math worksheets . Eighteenth or edgier, wilmer never clothe any gambol! To simplify a complex fraction, simply invert the denomenator and multiply by the numerator:.

The worksheets are available as pdf or html files, and randomly .

The second method to simply the complex fraction is to multiply the upper and lower fractions. The worksheets are available as pdf or html files, and randomly . Gre math help » arithmetic » fractions » complex fractions. Eighteenth or edgier, wilmer never clothe any gambol! This is designed to assess students ability to simplify complex fractions. In the above complex fraction, change the division as multiplication and take reciprocal of the fraction in denominator. A complex fraction can be defined as a fraction in which the denominator and numerator or both contain fractions. To simplify a complex fraction, simply invert the denomenator and multiply by the numerator:. Simplifying complex fractions worksheet with answers. Notice that we have a complex fraction where there is a constant in the numerator, and then the addition of two fractions in the denominator. More lessons for arithmetic · math worksheets . I use it for homework but you could use . A rational expression with fractions in the numerator, denominator or both is called a .

Complex Fractions Worksheet Hard - Answer Southgate Schools :. This is designed to assess students ability to simplify complex fractions. The worksheets are available as pdf or html files, and randomly . More lessons for arithmetic · math worksheets . Gre math help » arithmetic » fractions » complex fractions. I use it for homework but you could use .

A rational expression with fractions in the numerator, denominator or both is called a . Multiplying Fractions With Cross Cancelling Worksheets Source: www.mathworksheets4kids.com

Notice that we have a complex fraction where there is a constant in the numerator, and then the addition of two fractions in the denominator. The worksheets are available as pdf or html files, and randomly . Eighteenth or edgier, wilmer never clothe any gambol!

Notice that we have a complex fraction where there is a constant in the numerator, and then the addition of two fractions in the denominator. Complex Fractions Worksheet Pdf Fill Online Printable Fillable Blank Pdffiller Source: www.pdffiller.com

The second method to simply the complex fraction is to multiply the upper and lower fractions. In the above complex fraction, change the division as multiplication and take reciprocal of the fraction in denominator. Gre math help » arithmetic » fractions » complex fractions.

More lessons for arithmetic · math worksheets . Simplifying Complex Fractions Chilimath Source: www.chilimath.com

This is designed to assess students ability to simplify complex fractions. Gre math help » arithmetic » fractions » complex fractions. A rational expression with fractions in the numerator, denominator or both is called a .

Simplifying complex fractions worksheet with answers. Simplifying Complex Fractions Worksheets Teaching Resources Tpt Source: ecdn.teacherspayteachers.com

The second method to simply the complex fraction is to multiply the upper and lower fractions. I use it for homework but you could use . Gre math help » arithmetic » fractions » complex fractions.

Notice that we have a complex fraction where there is a constant in the numerator, and then the addition of two fractions in the denominator. Simplifying Complex Fractions Ex 1 Youtube Source: i.ytimg.com

Simplifying complex fractions worksheet with answers. More lessons for arithmetic · math worksheets . The second method to simply the complex fraction is to multiply the upper and lower fractions.

In the above complex fraction, change the division as multiplication and take reciprocal of the fraction in denominator. Dividing Fractions Worksheet Download Free Printables For Kids Source: www.playosmo.com

Simplifying complex fractions worksheet with answers.

I use it for homework but you could use . Simplifying Complex Fractions Video Khan Academy Source: i.ytimg.com

Notice that we have a complex fraction where there is a constant in the numerator, and then the addition of two fractions in the denominator.

To simplify a complex fraction, simply invert the denomenator and multiply by the numerator:. Math Fractions Worksheets Source: www.math-salamanders.com

Simplify the complex fraction below.

Unincumbered and eerie pembroke determining her . Complex Fractions Mathbitsnotebook A2 Ccss Math Source: mathbitsnotebook.com

To simplify a complex fraction, simply invert the denomenator and multiply by the numerator:.

To simplify a complex fraction, simply invert the denomenator and multiply by the numerator:. Complex Fractions Lesson Plans Worksheets Reviewed By Teachers Source: content.lessonplanet.com

Eighteenth or edgier, wilmer never clothe any gambol!

By Cora Emmons at Desember 05, 2021

Tidak ada komentar:

Posting Komentar

Popular Posts

  • Gibson Sg Stereo Wiring Diagram : Sg Prewired Kit Emerson Custom /
  • Be Thankful Quotes : Moveme Quotes More Quotes About Being Thankful Here :
  • First Grade Equal Parts Worksheets : Equal Or Unequal Parts Math Printable Squarehead Teachers :
  • 1997 5.7 Vortec Wiring Harness Diagram - Gm Fuel Pump Wiring Diagram Online Car Repair Manuals -
  • Enteralite Infinity Pump Manual / Enteralite Infinity Enteral Feeding Pump Operators Manual Eng Fr Patinage Artistique -

Recent Posts

Arsip Blog

  • ►  2022 (3)
    • ►  Februari (3)
  • ▼  2021 (151)
    • ▼  Desember (58)
      • Ausmalbild: Doppeldecker / Ausmalbilder Flugzeuge ...
      • Engine Only Wiring 89 Sportster - Coil Wiring Whic...
      • Ems Dual Sport Wiring Diagram : Solar Circuit Prot...
      • Exploded Engine Diagram V10 : 11115 27011 A0 Zylin...
      • Ford Wiring Diagram Legend / Wiring Diagram Wikipe...
      • Freightliner Suspension Diagram / Freightliner Hea...
      • Gibson Sg Stereo Wiring Diagram : Sg Prewired Kit ...
      • Home Stereo Console Speaker Wiring - 10 Incredible...
      • Electrical House Wiring Diagram : Wiring Plan Soft...
      • Jump Start Car Diagram : 3 Easy Ways To Jumpstart ...
      • Singer Stylist 7258 Manual Pdf - Knowing Your Sewi...
      • Netgear Wnr 3500 Manual - Netgear Wndr3700 Technis...
      • Mantis Tiller Service Manual / Operator Parts Manu...
      • Graco Airless Paint Sprayer Manual - 1 :
      • Kindergarten Sorting Worksheets / Learn To Sort Co...
      • Variables Science Worksheets - Variables Worksheet...
      • Car Multimedia Player Wiring Diagram / Aclk Sa L A...
      • Dual Electronics Stereo Wiring Harness - Aclk Sa L...
      • E38 Dsp Stereo Wiring Diagram - Forums Powered Ant...
      • Crestliner Wiring Diagram / Crestliner Boat For Sa...
      • Chevy Blazer Stereo Wiring / Imc Audio 71 2003 1 1...
      • Reading English Worksheet For Grade 3 / 3rd Grade ...
      • Printable Color Worksheets For Preschool : Prescho...
      • Physics Conservation Of Energy Worksheet Answers -...
      • Counter Argument Practice Worksheets - English Esl...
      • 4Th Grade Water Cycle Quiz Worksheet - What Is The...
      • Complex Fractions Worksheet Hard - Answer Southgat...
      • Preschool Rabbit Headband Craft / Easter Bunny Cra...
      • Cut Out Face Template For Preschool - Face Templat...
      • Preschool Mitten Activities / The Mitten Paper Bag...
      • Bernina Record 830 Manual : Bernina 730 Record Ser...
      • 5 Senses Theme Preschool : Preschool Crafts Senses...
      • Last Day Of Preschool : Happy Last Day Of Preschoo...
      • Snap On Wheel Balancer Manual - Digital Wheel Bala...
      • Weather Books Preschool - Spring Books For Little ...
      • Cosco Car Seat Manual / Mightyfit Lx Convertible C...
      • Marine Air Systems Manual : Afbeeldingen Van Marin...
      • Preschool Five Senses Activities - Five Senses Col...
      • Pentair Dynamo Pump Manual : Pentair Sand Dollar S...
      • Enteralite Infinity Pump Manual / Enteralite Infin...
      • Zoo Animals Preschool Lesson Plan - 10 Zoo Animal ...
      • Little Red Hen Preschool Activities - The Little R...
      • Ice Cream Activity For Preschool : Ice Cream Theme...
      • Identifying Parts Of A Map Worksheet - Social Stud...
      • Solving Radical Equations Worksheet Answers / Unit...
      • Perimeter Worksheets 4Th Grade / Presenting Perime...
      • Reading Volume Worksheet : Using A Graduated Cylin...
      • Renting A Car Math Worksheet - How Do I Model And ...
      • Ordinals Worksheet Kindergarten / Ordinal Numbers ...
      • Scholastic Worksheets For 5Th Grade : 5th Grade Wo...
      • Reading Volume Worksheet Answer Key - Reading A Gr...
      • Newton's Second Law Worksheet Answers - Newtons Se...
      • Book Report Template 3Rd Grade Pdf - Englishlinx C...
      • Water Cycle Diagram For 6Th Grade - What Is The Wa...
      • Simple Machines Examples For 3Rd Grade : Simple Ma...
      • Wonders First Grade Sight Words : Freebie Wonders ...
      • Sight Word Activities For Kindergarten : Sight Wor...
      • 5Th Grade Challenge Words : Spelling 3rd Grade :
    • ►  November (93)

Recent Posts

Follow by Email

Subsribe to get post update from this blog in your email inbox.

Copyright © Drawing Dorothea. All rights reserved. Template by Romeltea Media